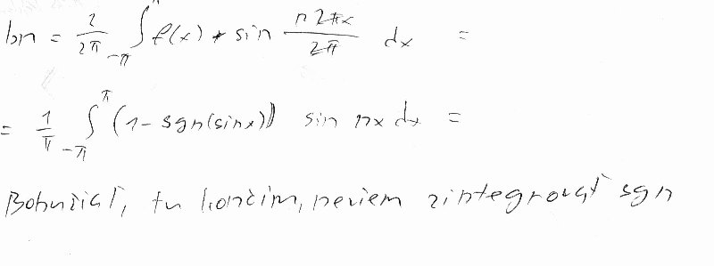
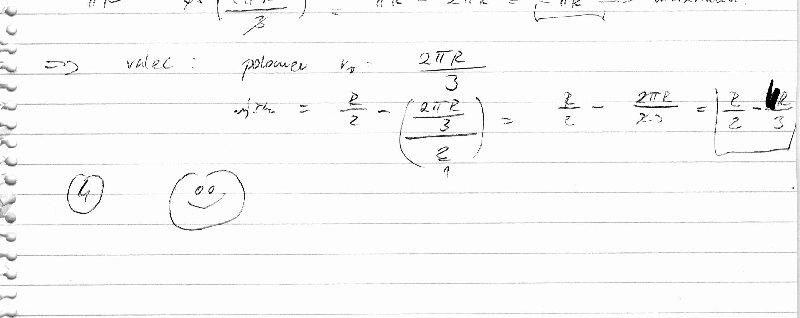
Ukážky z písomných skúšiek
(čo všetko sú schopní niektorí študenti vytvoriť iba za veľmi krátkych 90 minút)





Domov




























Domov